Home | Trip Reports | Recent Sightings | Blog | Photographs | Phonescoping | Sounds & Sonograms | Sketches | Patches | Butterflies & Dragonflies

 

     Sounds & Sonograms > Orthoptera                

Grey Bush-cricket  Platycleis albopunctata


 

Grey Bush-cricket (Platycleis albopunctata) © Fraser Simpson

female Grey Bush-cricket (Platycleis albopunctata), 1850 metres, Val-d'Isère, Savoie, Auvergne-Rhône-Alpes, France, Aug 2019

 

 

Grey Bush-cricket (Platycleis albopunctata) © Fraser Simpson

female Grey Bush-cricket (Platycleis albopunctata), Sandwich Bay, Kent, England, Sep 2020

 

 

Grey Bush-cricket (Platycleis albopunctata) © Fraser Simpson

female Grey Bush-cricket (Platycleis albopunctata), Sandwich Bay, Kent, England, Sep 2020

 

 

Grey Bush-cricket (Platycleis albopunctata) © Fraser Simpson

male Grey Bush-cricket (Platycleis albopunctata), Sandwich Bay, Kent, England, Sep 2020

 

 

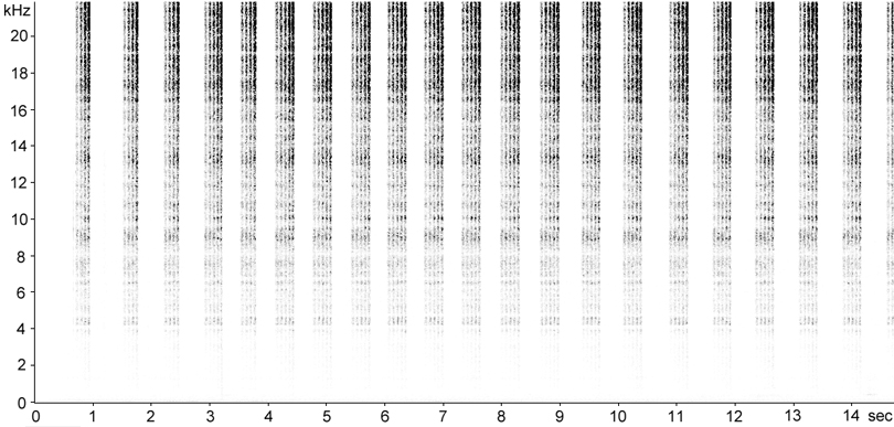
Sonogram of Grey Bush-cricket stridulation [greybushcricket117399ecut]

Sandwich Bay, Kent,, England  51° 16' 59" N  01° 22' 44" E  5 September 2020

Calling song/stridulation from a male Grey Bush-cricket (Platycleis albopunctata) in low dune marram grassland close to the shoreline (also heard further inland in fixed dunes and on the golf course).

A long sequence of high-pitched echemes, consisting of two per second at 18°C. Each echeme consisting of 3-5 syllables, mostly 4). Largely inaudible to my ears, a bat detector set at 30kHz was essential in locating this cryptic orthopteran.

[File name: greybushcricket117399ecut] Click here for the MP3 file


     

 

Oscillogram of Grey Bush-cricket stridulation [greybushcricket117399ecut]

Oscillogram of Grey Bush-cricket stridulation [greybushcricket117399ecut]

Oscillogram of Grey Bush-cricket stridulation [greybushcricket117399ecut]

Sandwich Bay, Kent,, England  51° 16' 59" N  01° 22' 44" E  5 September 2020

Oscillogram of calling song/stridulation from a male Grey Bush-cricket (Platycleis albopunctata) in low dune marram grassland close to the shoreline.

 

 

 

 

Sonogram of Grey Bush-cricket stridulation [greybushcricket117402capcut]

Indoor recording in terrarium  7 September 2020

Calling song/stridulation from a single captive male Grey Bush-cricket (Platycleis albopunctata) in a terrarium.

A long sequence of high-pitched echemes, consisting of one to two per second. Each echeme consisting of 4-5 syllables, mostly 5) (at 23.6°C ambient room temp, no heat lamp or direct sun).

[File name: greybushcricket117402capcut] Click here for the MP3 file


     

 

Oscillogram of Grey Bush-cricket stridulation [greybushcricket117402capcut]

Oscillogram of Grey Bush-cricket stridulation [greybushcricket117402capcut]

Oscillogram of Grey Bush-cricket stridulation [greybushcricket117402capcut]

Indoor recording in terrarium  7 September 2020

Calling song/stridulation from a single captive male Grey Bush-cricket (Platycleis albopunctata) in a terrarium.

 

 

Grey Bush-cricket (Platycleis albopunctata) - stridulation heard through bat detector set at 30 kHz.

 

 

 

 


About | A-Z Index | Search this Website | Links | Ayrshire Bird Report | Ayrshire Bird Race | Biking & Birding to Work | Scarlet Banded-Barbet | Blog Index | Cycling | Ambient

 

 


  © Fraser Simpson  ·  www.fssbirding.org.uk